前回(2022/03/20)は酸化還元反応のネルンスト式、標準電極電位、平衡定数の関係について示しました。今回は、見掛けの電位と酸化還元反応に対するpHの影響について調べます。
前回説明したように、半電池反応(aA + ne- ⇄ bB)のネルンスト式は、
E = Eº-RT/(nF)×ln(aBb/aAa)
で表されます。そしてこの半電池反応を組み合わせることで酸化還元反応の平衡を定量的に取り扱うことができます。ネルンスト式は活量を用いて表されますが、実用上活量よりも濃度を用いるほうが便利です。しかし濃度を用いるときは活量係数を考慮する必要があります。また、プロトンが関与する半電池反応や酸塩基反応、沈殿反応、錯生成反応を伴う場合もあり、これらの影響も考慮する必要があります(*1)。このような影響を考慮した、ある特定の条件においてだけ成立する標準電極電位(Eº)として「見掛けの電位(Eº’)」(あるいは「式量電位」)という考えを導入します。
(*1) もちろん他の平衡反応と同様、酸化還元反応は温度の影響を受けます。ここで取り扱う値はすべて25℃における値です。
<<見掛けの電位(Eº’)>>
<活量係数の影響>
次の半電池反応について、
aA+ne- ⇄ bB
ネルンスト式は、
E = Eº-RT/(nF)×ln(aBb/aAa)
で与えられます。しかし実用的には活量に代えて濃度で表したほうが便利です。
化学種Xの活量aXと濃度[X]の間には次の関係があります。
aX=gX[X] (ここで、gXは活量係数)
したがってネルンスト式は、
E= Eº-RT/(nF)×ln(gBb[B]b/(gAa[A]a))
= Eº-RT/(nF)×{(ln(gBb/gAa)+ln([B]b/[A]a)}
= {Eº-RT/(nF)×ln(gBb/gAa)}-RT/(nF)×ln([B]b/[A]a)
ここで、
Eº’ = Eº-RT/(nF)×ln(gBb/gAa)
とすると、
E = Eº'-RT/(nF)×ln([B]b/[A]a) …①
ここでEº’は、活量係数の項を含み、このようなEº’は「見掛けの電位」と呼ばれます。Eº’を導入することで、電位(E)は濃度の関数として取り扱うことができます。
<副反応の影響>
化学種A, Bの濃度は、酸塩基反応、沈殿反応、錯生成反応の影響を受けて変化します。これら副反応の効果を別途分離すると、化学種A, Bに関する全濃度(式量濃度)でネルンスト式を表現できます。たとえば、[X]はXに関する全濃度CXに存在分率fXを掛けたものとします。(*2)
(*2) たとえば、Fe(III)に関する化学種の全濃度をCFe(III)
= [Fe3+]+[FeOH2+]+[FeCl2+]+…とすると、化学種Fe3+の存在分率はfFe3+ = [Fe3+]/CFe(III)となる。
[A] = fACA,
[B] = fBCB
したがって、①式は、
E = Eº-RT/(nF)×ln(gBb/gAa)-RT/(nF)×ln(fBbCBb/(fAaCAa)
= {Eº-RT/(nF)×ln(gBb/gAa)-RT/(nF)×ln(fBb/fAa)}-RT/(nF)×ln(CBb/CAa)
このEº-RT/(nF)×ln(gBb/gAa)-RT/(nF)×ln(fBb/fAa)をまとめて新たにEº’とおくと、
E = Eº’-RT/(nF)×ln(CBb/CAa) …②
ここで、Eº’ = Eº-RT/(nF)×ln{(gBb/gAa)(fBb/fAa)}
この存在分率を含んだEº’を用いることにより、ある特定の条件において電位(E)は全濃度(C)の関数として取り扱うことができるようになります。
<<Eに対するpHの影響>>
<プロトンが関与する酸化還元反応>
プロトンが関与する半電池反応について、
aA + mH+ + ne- ⇄ bB
ネルンスト式は、
E = Eº-RT/(nF)×ln(aBb/(aAaaHm))
で与えられます。
pH = -logaH
なので、ネルンスト式は、
E = Eº-2.30RT/(nF)×log(aBb/(aAa))-2.303RT/(nF)×mpH
となり、EはpHの関数(傾き=-0.0592m/n)となります。
例えば、
MnO4- + 8H+ + 5e- ⇄ Mn2+ + 4H2O
について、ネルンスト式は、Mn2+ , MnO4-の活量係数、副反応を無視すると、
E = Eº-0.0592/5×log([Mn2+]/[MnO4-])-0.0592/5×8pH
となります。pHが1上がると、Eは0.095 Vだけ下がり、それだけ酸化力は低下します。MnO4- が強い酸性下で用いられるのはこれが理由です。
また、
Cr2O72- + 14H+
+ 6e- ⇄ 2Cr3+ +
7H2O
のネルンスト式は、Cr3+ , Cr2O72-の活量係数、副反応を無視すると、
E = Eº-0.0592/6×log([Cr3+]2/[Cr2O72-])-0.0592/6×14pH
pHが1上がると、Eは0.138 Vだけ下がります。
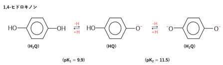
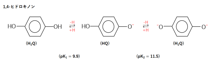
<キノン-ヒドロキノン系>
pHが影響を及ぼす酸化還元系の例としてキノン(Q)-ヒドロキノン(H2Q)系を取り上げます(取り扱いを簡単にするため化学種の活量係数はすべて1とします)。
酸性溶液におけるキノン(Q)-ヒドロキノン(H2Q)の酸化還元反応とネルンスト式は次の通りです。
Q +2H+
+ 2e- ⇄ H2Q
E = Eº-0.0592/2×log([H2Q]/([Q][H+]2)) (Eº:標準電極電位)
また、H2Qの酸解離反応と酸解離定数は、
H2Q ⇄
H+ + HQ-
, K1 = [H+][HQ-]/[H2Q]
HQ-⇄ H+ + Q2- , K2 = [H+][Q2-]/[HQ-]
ここで、キノン(Q)の濃度をCQ mol/L、ヒドロキノン(H2Q)の全濃度をCH2Q mol/Lとします。
CQ = [Q]
CH2Q = [Q2-]+[HQ-]+[H2Q]
= [Q2-](1+[H+]/K2+[H+]2/(K2K1)) = [Q2-]α
キノン(Q)はどのようなpHにおいても中性分子のままですが、ヒドロキノン(H2Q)は酸塩基反応により、高pH領域においてHQ-, Q2-イオンを生じます(QとQ2-は別の化学種であることに注意!)。
ヒドロキノンの化学種(H2Q, HQ-, Q2-)の存在分率(2021/04/04)をそれぞれ、f2, f1, f0とすると、
α = 1+[H+]/K2+[H+]2/(K2K1)
f0 = [Q2-]/CH2Q
= 1/α
f1 = [HQ-]/CH2Q = f0[H+]/K2
f2 = [H2Q]/CH2Q = f1[H+]/K1
したがって、ネルンスト式は、
E = Eº-0.0592/2×log([H2Q]/([Q][H+]2))
= Eº-0.0592/2×log{(CH2Qf2/(CQ[H+]2))}
= {Eº-0.0592/2×log(f2/[H+]2)}-0.0592/2×log(CH2Q/CQ)
Eº' = Eº-0.0592/2×log(f2/[H+]2)とおくと、
E = Eº'-0.0592/2×log(CH2Q/CQ)
となります。Eº'はpHの関数です。(*3)
(*3) さらに式を変形すると、f2/[H+]2 = 1/(K2K1+K1[H+]+[H+]2)=1/(K2K1α)となるので、
Eº' = Eº+0.0592/2×log(K2K1+K1[H+]+[H+]2)
= Eº+0.0592/2×log(K2K1α)
これらの式を用いてEº'を計算してもよい。
Eº=0.700 Vとし、またpK1=9.9, pK2=11.5として、pHを与えてEº'を求めた結果を図-1に示します。
図-1
また、pHとEº'の関係、およびpHとヒドロキノンの化学種化学種の存在分率の関係を図-2に示します。pH0~pH8付近まではpHとEº'の間に直線関係が成立します。(*4)
(*4) ヒドロキノンをFeCl3溶液で酸化する、またはキノンを亜硫酸水素ナトリウム溶液で還元すると、キノンとヒドロキノンをモル比1:1で含む結晶沈殿が得られ、これは"キンヒドロン"と呼ばれる。この結晶をpH緩衝液に溶かすとCH2Q/CQ=1の溶液が得られ、ネルンスト式から明らかなように、電極電位を測定するとそのpHでの見掛けの電位が一義的に決まる。この性質を利用してキンヒドロン溶液はORP計のチェックなどに使われる。
図-2




コメント