以前にも述べたとおり(2022-06-19)、金属イオンに錯生成剤を加え、生成した金属イオン錯体の電荷が変化する(特に陰イオンになる)と、イオン交換樹脂への吸着挙動が大きく異なるようになります。今回は、アルカリ土類金属イオンにキレート剤を加えた場合について、イオン交換挙動の変化とカラム沪過法への応用を検討したいと思います。
<<キレート剤を添加したときの分配係数>>
所定の条件下において、キレート剤共存時の分配係数値はあまり文献に記載されていません。したがって、まず選択係数(K2H.M)および錯生成定数(Kf)を用いて所定の条件下での分配係数値を推定します。
H型陽イオン交換樹脂(Dowex 50-X8)に対するアルカリ土類金属イオン(M2+)およびNH4+の選択係数(K2H.M)の値を次に示します。
また、M2+のNH4+型陽イオン交換樹脂(Dowex 50-X8)に対する選択係数(K2NH4.M)は次のように計算できます(2022-06-19)。
K2NH4,M = [NH4]aq2[M]r/([NH4]r2[M]aq)
= K2H,M/(KH,NH4)2
NH4+型陽イオン交換樹脂に対する質量分配係数(Dg,M)は、次の通りです。
Dg,M = [M]r/[M]aq = K2NH4,M([NH4]r/[NH4]aq)2
ここでもしM2+が非常に微量で、NH4+とM2+のイオン交換が平衡に達した後も樹脂相中の[NH4]rと水相中の[NH4]aqの値が事実上変化しないものとすると、[NH4]rは交換容量、[NH4]aqはNH4+の平衡濃度に一致すると考えることができます。
また、M2+が水相中でキレート剤Ln-と錯形成反応を起こしてM:L=1:1の陰イオン錯体ML(n-2)-を作り、ML(n-2)-は陽イオン交換樹脂に吸着せず、吸着するのはM2+イオンのみとすると、分配係数は、次のようになります。
Dg,M = [M]r/CM
= [M]r/([M]aqα) = K2NH4,M([NH4]r/[NH4]aq)2/αM …①
ここで、CMは水溶液中のMの全濃度、αMはMに関する副反応係数です。
αM = CM/[M]aq
= 1+Kf[L]
さらに、錯生成剤の初濃度をCLとすると、HnLがn価の酸である場合、Knを酸解離定数として、
[L] = CL/αL
αL = 1+[H]/Kn+[H]^2/(KnKn-1)++[H]^n/(KnKn-1…K1)
なので、
αM = 1+Kf[L] = 1+KfCL/αL
したがって、①式は、
Dg,M = K2NH4,M([NH4]r/[NH4]aq)2/(1+KfCL/αL) …②
となります。αLは[H]の関数なので、Dg,MはpHに依存します。
<<カラム沪過法の条件>>
イオンAはカラムを通過させ、イオンBをカラムに残したいとき、カラム沪過法が可能なおおよその条件は、V:溶出液体積(mL)、G:乾燥樹脂質量(g)として、
Dgb>5V/G …③
Dga<V/(5G) …④
でした(2022-07-17)。
以降、この条件でカラム沪過法の可否を判断します。
もちろんこの条件が成立しない場合でも目的次第でカラム沪過法が可能の場合もあり、またこの条件が成立しても、テーリング現象等により分離が不十分な場合もあります。
<<EDTAの使用>>
キレート剤としてEDTAを用い、Ca, Sr, Baのカラム沪過法が適用可能なpHの条件を求めます。Ca, Sr, BaとEDTAの錯形成定数および酸解離定数を次に示します。
また前提条件として、「EDTAの全濃度をCL=0.1 mol/Lとする。NH4+については、pHが所定の値となり、かつ[NH4]aqが0.2 mol/Lとなるように、HClとNH3を加える。また[NH4]aqは、交換容量から考えて5 mmol/g(resin)とする。」とします。
<Ca,
Sr, BaのDgとpHの関係>
上記の定数および前提条件のとき、②式を用いて所定のpHにおけるDgの値を求めます。Caに関してエクセルでの計算結果(一部)を図-1に示します。
Sr,
Baに関しても、Caと同様の計算をします。Ca, Sr, BaのDgとpHの関係を図-2に示します。
<CaとSrの分離が可能なpH範囲>
たとえば、V=100 mL, G = 8 g (Vr=20 mL)とすると、カラム沪過法が適用可能な条件として、
Srについては、③式から
Dg,Sr>(V/G)×5 = 62.5
Caについては、④式から
Dg,Ca<(V/G)/5
= 2.5
となります。
図-2から(またはエクセルの計算表でDgを満たすpHをソルバーで求めて)、この条件を満たすpH範囲は、4.4<pH<4.8となります。
<SrとBaの分離>
たとえば、V=200 mL, G = 8 g (Vr=20 mL)とすると、カラム沪過法が適用可能な条件として、
Baについては、③式から
Dg,Bar>(V/G)×5 =
125
Caについては、④式から
Dg,Sr<(V/G)/5
= 5
エクセルの計算表でDgを満たすpHをソルバーで求めると、BaについてはpH<5.50, SrについてはpH>5.54となり、厳密には成立しませんが、pH=5.5でぼぼ成立する、と考えてよいでしょう。
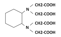
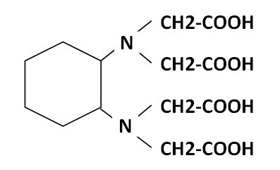
<<DCTAの使用>>
DCTA(1,2-ジアミノシクロヘキサンテトラ酢酸)は次のような構造を持つキレート剤です(CyDTAとも略す)。
DCTAの錯形成定数および酸解離定数を次に示します。
Ca,
Sr, BaとDCTAの錯形成定数は互いによく離れており、良好なイオン交換分離が期待できます。
EDTAの場合と全く同じ条件でDgの値を計算し、DgとpHの関係を求めました。結果を図-3に示します。
CaとSrの分離が可能なpH範囲:4.3<H<4.9
SrとBaの分離が可能なpH範囲:5.6<pH<6.3
DCTAはEDTAよりもカラム沪過法が可能なpHの許容範囲が広いことが分かります。
たとえば、pH4.6で溶離するとCaが溶出し、pHで6.0溶離するとSrが溶出し、pH8.0以上でBaが溶出します。
**********
なお、Mgが共存する場合、上記の錯生成定数から考えて、EDTAあるいはDCTAを用いても、MgはSrとほぼ同じ位置に溶出すると思われます。







コメント