第1属~第4属を除いた溶液をアンモニア塩基性にして炭酸アンモニウムを加えると炭酸塩沈殿が生じるイオン(Ca2+, Sr2+, Ba2+)は<第5属>に分類されます。今回は、第5属の分属条件について考えます。
<<第5属の分属および分離・確認操作>>
第5属の分属および属内の分離操作のフローチャートを図-1に示し、第5属イオンの確認操作の概要を図-2に示します。
<<第5属の分属操作>>
<炭酸塩の溶解度とpHの関係>
計算に用いた溶解度積、錯生成定数の値を図-3に示します。
アルカリ土類金属イオンおよびマグネシウムイオンをM2+とすると、MCO3の溶解度積および関連する錯生成定数は次にようになります。
Ksp = [M][CO3] …①
βc = [MCO3]/([M][CO3]) …②
βh = [MHCO3]/([M][HCO3]) …③
βo = [MOH]/([M][OH]) …④
K1 = [HCO3][H]/[H2CO3] …⑤
K2 = [CO3][H]/[HCO3] …⑥
Kw = [H][OH] …⑦
ここで、炭酸塩の全濃度をCc (mol/L)とすると、物質バランスから、
Cc = [CO3]+[HCO3]+[H2CO3]+[MCO3]+[MHCO3] …⑧
さらに、電荷バランスから、
2[M]+[MHCO3]+[MOH]+[H] = 2[CO3]+[HCO3]+[OH] …⑨
が成立します。
以上の9個の関係式から、平衡定数および炭酸塩の全濃度Ccが分かれば次の9個の未知数([M], [MCO3], [MHCO3], [MOH], [CO3],
[HCO3], [H2CO3], [OH], [H])を求めることができます。
特に、炭酸塩が炭酸アンモニウム((NH4)2CO3)の場合、
Kn = [NH3][H]/[NH4] …⑩
2Cc = [NH3]+[NH4] …⑪
を加えて、11個の関係式から11個の未知数(上記の9個および[NH3],
[NH4])を解くことになります。
またこのような平衡が成り立つときのMCO3の溶解度(S (mol/L))は、
S = [M]+[MCO3]+[MHCO3]+[MOH]] …⑫
で与えられます。したがって、以上からpHとSの関係を求めることができます。
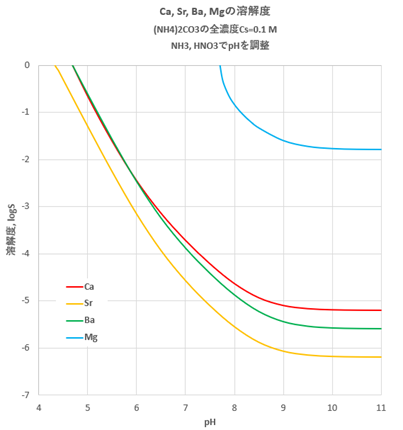
例えば、Cc = 0.1 mol/LとしてNH3とHNO3でpHを調整したときのpHとSの関係をソルバーで求めました。計算結果の例を図-4に示し、関係図を図-5に示します。
図-5から明らかなように、pHがおよそ8以上になるとCaCO3, SrCO3, BaCO3がほぼ定量的に沈殿することが分かります(S<10^-4 (mol/L))。またこのときMgCO3の溶解度は、例えばpH=8, 9, 10のときそれぞれS=0.15, 0.025, 0.017
(mol/L)となりました。
またカルシウムイオンに関して溶液中の化学種濃度の変化を図-6に示します。pHが高くなるとCaCO3が主成分となり、溶解度はS≒[CaCO3]=Kspβc=0.016 (mol/L) となって一定値に近づくことが分かります。他の金属イオンについても同様にS≒[MCO3]=Kspβcに近づきます。
図-6
<炭酸アンモニウム濃度の影響>
図-5では炭酸アンモニウムの濃度をCc = 0.1 mol/Lとしましたが、この値を変化させたときの溶解度に対する影響を、CaとMgについて調べました。Cc
= 0.1, 0.2, 0.5 mol/Lのときの溶解度変化を図-7に示します。
pHが低いうちは炭酸アンモニウム濃度(Cc)の影響を受け、Ccの増加とともに溶解度は小さくなります(共通イオン効果)。しかしpHが高くなりS≒[MCO3]=Kspβcに近づくと炭酸アンモニウム濃度の影響を受けなくなるのが分かります。
<MgCO3が沈殿せず、CaCO3が沈殿する条件>
以上の検討から、試料中のMgの全濃度(Cmg)がKspβc=0.016 mol/L以下のときはpH<11においてMgCO3は沈殿しない、と言えます(*1)。またCmgが0.016 mol/Lを超えるときは、MgCO3を沈殿させないために炭酸アンモニウムの濃度(Cc)およびpHをある定められた値以下に保つ必要があります。pHを一定に保つためには緩衝作用の利用(たとえばNH4Clの添加)が有効と考えられます。
(*1) ここで用いたKsp=10^-4.7(図-3)はMgCO3・3H2Oに対する溶解度積である。実際の沈殿は様々な組成を持つ塩基性炭酸塩(例えば、Mg4(CO3)3(OH)2)であると言われ、溶解度積はもう少し大きくなると考えられる。したがって、ここでの議論はあくもでもKsp=10^-4.7の値を用いたときの話である。
このようにMgCO3に関する制約条件がある一方、CaCO3,
SrCO3, BaCO3に関してはできるだけ沈殿回収率を高める必要があり、このためには炭酸アンモニウムの濃度(Cc)およびpHはより高い方が好ましいと言えます(たとえば上述したように、Cc=0.1 mol/LのときCaCO3をほぼ定量的に沈殿させるにはpHはおよそ8以上であることが必要(図-5))。したがって適切な条件にはある制約範囲があります。






コメント