錯生成平衡を利用する金属イオンの滴定を錯滴定と言いますが、このうち滴定剤としてキレートを用いる場合はキレート滴定と呼ばれます。エチレンジアミン四酢酸(EDTA)はほとんどの金属イオンと1:1の安定な金属-キレート錯体を作ります。キレート滴定の代表であるEDTA滴定について、滴定曲線を描くための基本的な関係式を導きます。
<<EDTAの酸としての性質>>
中性形のEDTA(H4Y)は4価の酸と考えることができます(図-1)(*1)。
H4Yは次のように酸解離します。
H4Y ⇄ H3Y- + H+ K1 = [H3Y][H]/[H4Y]
H3Y- ⇄ H2Y2-
+ H+ K2 = [H2Y][H]/[H3Y]
H2Y2- ⇄ HY3-
+ H+ K3 = [HY][H]/[H2Y]
HY3- ⇄ Y4- + H+ K4 = [Y][H]/[HY]
(*1) すべてがプロトン化したH6Y2+は6価の酸となる。しかし、H6Y2+, H5Y+形のイオンは主に強酸性溶液中でのみ存在する。実際のEDTA滴定は塩基性側で行われることが多く、陽イオン形の化学種はEDTA滴定の考察には重要でないのでここでは考えない。また、EDTAの遊離酸(H4Y)の溶解度は非常に小さく水に溶けにくいので、試薬としてはニナトリウム塩(Na2H2Y)がよく用いられる。
EDTAの全濃度を[Y’]とすると、EDTAの化学種(Y4-, HY3-,
H2Y2-, H3Y-, H4Y)の存在分率(fn)は、
[Y’] = [Y]+[HY]+[H2Y]+[H3Y]+[H4Y]
= [Y](1+[H]/K4+[H]2/(K4K3)+[H]3/(K4K3K2)+[H]4/(K4K3K2K1))
ここで、
α = 1+[H]/K4+[H]2/(K4K3)+[H]3/(K4K3K2)+[H]4/(K4K3K2K1)
とすると、
f0 = [Y]/[Y’] = 1/α
f1 = [HY]/[Y’] = f0[H]/K4
f2 = [H2Y]/ [Y’] = f0[H]2/(K4K3)
f3 = [H3Y]/[Y’] = f0[H]3/(K4K3K2)
f4 = [H4Y]/[Y’] = f0[H]4/(K4K3K2K1)
となります(*2)。
(*2) fn:nは解離できるHの数。fnは[H]のみの関数であり、[Y’]の大きさとは無関係となることに注意!(2023-10-29)
pH変化にともなうEDTAの化学種分布を図-2に示します。図-2から明らかなように、たとえば、pH10ではY4-の分率はf4=0.30、pH12ではf4=0.98となります。
<<EDTA錯体と条件生成定数>>
水素イオンがすべて解離したEDTA(Y4-)は金属イオンMn+と安定なキレートを生成することができます(図-3)。
このキレート環は非常に安定した構造をとり、EDTAはアルカリ金属イオン以外のほとんどの金属イオンと1:1の安定な錯体を作ります。
Mn+ + Y4- ⇄ MYn-4
Kf = [MY]/([M][Y])
Kfは金属イオンMn+とY4-からEDTA錯体MYn-4が生成するときの平衡定数です。[Y]は酸濃度に依存し、計算しない限り[Y]を知ることができません。しかし、EDTAの全濃度Cyは直接求めることができます。したがって、Cyを用いて[M]を知ることを考えます。
ここで、上記のf0
= [Y]/[Y’] = 1/αの関係から[Y]=[Y’]f0なので
Kff0 = [MY]/([M][Y’])
このKff0をKf’とすると、
Kf’ = [MY]/([M][Y’])
となります。
ここで、[Y’]は金属イオンMと反応していないEDTAの全濃度です(*3)。
f0=1/αは[H]のみの関数なので、pHが一定ならばKf’は一定です(*4)。Kf’は条件生成定数と呼ばれます。条件生成定数(Kf’)はpHに依存するので真の定数とは言えませんが、pH一定の条件下では定数として取り扱うことができます。このKf’を導入すると滴定曲線の関係式にEDTAの全濃度Cyを用いることができ、式の作成が簡便になります(*5)。
(*3) 前項のEDTA単独での取り扱いとは違い、[Y’]はEDTAの全濃度Cyではなく、「金属Mと反応していないEDTA」の全濃度であることに注意!! つまり、Cy=[Y’]+[MY]となる。f0はこれまでどおりのやり方で計算できる。
(*4) pHが一定である条件は、試料溶液にpH緩衝溶液を加えることによって簡単に作り出せる。
(*5) 実際には、条件生成定数は金属イオンMの加水分解やその他の副反応も考慮する必要があるが、次の滴定曲線の作成の項においては無視する。金属イオンMの副反応等を考慮した条件生成定数については、最後に述べる。
<<滴定曲線の関係式>>
金属イオンMを含む溶液について、pH緩衝液を用いてpHを一定にしてEDTAで滴定することを考えます。
Cmo mol/Lの金属イオンMを含む溶液Vm mLにpH緩衝液を加えてV mLにしたあと、Cyo mol/LのEDTAで滴定するとき(滴下量:T
mL)の滴定曲線の関係式を求めます。
関係式は次のとおり。
Mn+ + Y4- ⇄ MYn-4
Kf = [MY]/([M][Y])
[MY] = Kf[M][Y] …①
Kf’ = Kff0 …②
各滴定段階における溶液中のEDTAと金属イオンMの全濃度をCy , Cmとすると、
Cm,
CyとCmo,
Cyoの間には次の関係があります。
Cm = CmoVm/(V+T) …③
Cy = CyoT/(V+T) …④
また、物質バランスは、
金属イオンMについて、
Cm = [M]+[MY] …⑤
配位子(EDTA)Yについて、
Cy = ([Y]+[HY]+[H2Y]+[H3Y]+[H4Y])+[MY] = [Y’]+[MY] …⑥
<<滴定曲線の作成方法>>
滴定曲線を描くためには、滴下量Tと金属イオン濃度pM(=-log[M])の関係を求める必要があります。
EDTAの物質バランス(⑥式)および生成定数式(①式)から
Cy = ([Y]+[HY]+[H2Y]+[H3Y]+[H4Y])+[MY] = [Y’]+Kf[M][Y]
[Y’]/[Y] = 1/f0なので、
Cy = [Y](1/f0+Kf[M])
[Y] = Cyf0/(1+f0Kf[M])
②式を代入して、
[Y] = Cyf0/(1+Kf’[M]) …⑦
また、金属イオンMの物質バランス(⑤式), ⑦式および①式から、
Cm = [M]+Kf’[M]Cy/(1+Kf’[M])
Cyについて求めると、
Cy = (Cm-[M])(1+Kf’[M])/(Kf’[M]) …⑧
緩衝液を加えて溶液のpHを一定に保つとf0が求まり、Kf’が与えられます。
<Tを与えてpMを求める方法>
⑧式を[M]について整理すると[M]に関する二次方程式が得られます。
Kf’[M]2-(Kf’(Cm-Cy)-1)[M]-Cm = 0
[M]2+((Cy-Cm)+1/Kf’)[M]-Cm/Kf’ = 0 …⑨
二次方程式の解の公式により[M]を求めます。
[M]
= {(Cm-Cy-1/Kf’)+√((Cm-Cy-1/Kf’)2+4Cm/Kf’)}/2 …⑩
ここで、
Cm = CmoVm/(V+T) …③
Cy = CyoT/(V+T) …④
Tを与えて③, ④式からCm, Cyを求めて⑩式に代入すると、pM(=-log[M])を求めることができ、滴定曲線(T-pM)を描くことができます(*6)。
(*6) ⑧式または⑨式について、二分法やMIN法を用いて解くことも可能である。
<pMを与えてTを求める方法>
別法として、③, ④式を⑧式に代入して、
CyoT/(V+T) = (CmoVm/(V+T)-[M])(1+Kf’[M])/(Kf’[M]) …⑪
⑪式からTについて求めると、
T = {(CmoVm-[M]V)(1+Kf’[M])}/{[M](1+Kf’[M]+Kf’Cyo)} …⑫
この式がpM(=-log[M])を与えてTを求めるときの関係式です。
pMの値を与えると[M]=10-pMからTを求めることができ、滴定曲線(T-pM)を描くことができます。
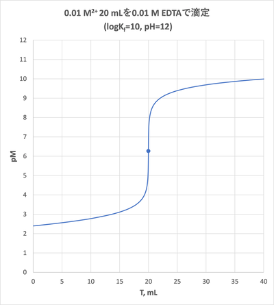
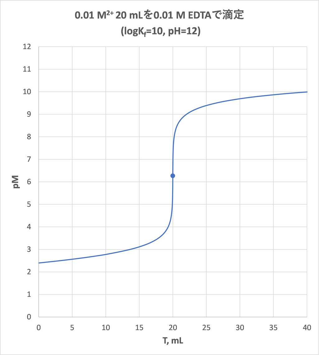
<滴定曲線の例>
Cmo=0.01 mol/Lの金属イオン(logKf=10とする)を含む溶液Vm=20 mLに緩衝液(pH=12)を加えてV=50 mLにしたあと、Cyo 0.01 mol/LのEDTAで滴定したとき(滴下量:T mL)の滴定曲線を求めます。計算結果(抜粋)を図-4(⑩式使用)および 図-5(⑫式使用)に示します。作成した滴定曲線を図-6に示します。
<<条件生成定数について>>
以上の取り扱いにおいては、条件生成定数を
Kf’ = [MY]/([M][Y’])
として、滴定曲線の関係式(T-pM)を導きました。
つまり、Mn+と結合していない遊離のEDTAに関して、H4Y, H3Y-,
H2Y2-, HY3-, Y4-の5種類の化学種が存在することを想定しています。
一方、Y4-と結合していない金属イオンとしては、Mn+だけしか想定していません。しかし、実際には、Y4-と結合していない金属化学種としてはMn+以外にもM(OH), M(OH)2,
…といった水酸化物や他の配位子Lと結合したML, ML2,…といった化学種が存在する場合もあります。
したがって、このような場合、
[M’] = [M]+[MOH]+[M(OH)2]+…+[ML]+[ML2]+…
として、新たな条件生成定数Kf’’を考える必要があります。
Kf’’ = [MY]/([M’][Y’])
さらに、MYについても、場合によってMHYやM(OH)Yといった化学種も存在するので、このような場合は、
[MY’] = [MY]+[MHY]+[M(OH)Y]+…
Kf’’’ = [MY’]/([M’][Y’])
を用いる必要があります。
また、場合によっては多核錯体が生成する可能性もあります。このような複雑な平衡を解析するときは上記の関係式(⑩または⑫)では不十分であり、エクセルのソルバーの使用が有効となります。






コメント