以前にも述べたとおり(2025-10-12)、金属イオンに錯生成剤を加えて生成した金属イオン錯体の電荷が変化すると(特に陽イオンから陰イオンになると)、イオン交換樹脂への吸着挙動が大きく異なるようになります。今回は、アルカリ土類金属イオンにキレート剤を加えた場合について、イオン交換挙動の変化とカラム沪過法への応用を検討したいと思います。
<<キレート剤を添加したときの分配係数>>
ここでは、アルカリ土類金属イオン(M2+)以外の金属イオンを含まない系として溶離液にNH4+系を用い、アルカリ土類金属イオンの陽イオン交換樹脂への吸着挙動におけるキレート剤の影響について調べます。
<NH3-NH4系の分配係数>
NH4+系に対するキレート剤共存時の分配係数の値はあまり文献に記載されていません。したがって、まずH+系における選択係数(KH.M, KH,NH4)を用いて所定の条件下での分配係数値を推定します。
KH,M = [M]aq[H]r2/([M]r[H]aq2
KH,NH4 = [NH4]aq[H]r/([NH4]r[H]aq)
H+形陽イオン交換樹脂(Dowex 50-X8)に対するアルカリ土類金属イオン(M2+)およびNH4+の選択係数(KH.M)の値を次に示します。

これらの値を用いると、M2+のNH4+形陽イオン交換樹脂(Dowex
50-X8)に対する選択係数(KNH4.M)を計算することができます(2025-10-12)。
KNH4,M = [NH4]aq2[M]r/([NH4]r2[M]aq)
= KH,M/(KH,NH4)2
NH4+形陽イオン交換樹脂に対する質量分配係数(Dg,M)は、次の通りです。
Dg,M = [M]r/[M]aq = KNH4,M([NH4]r/[NH4]aq)2
ここでもしM2+が微量で、NH4+とM2+のイオン交換が平衡に達した後も樹脂相中の[NH4]rと水相中の[NH4]aqの値が事実上変化しないものとすると、[NH4]rは交換容量、[NH4]aqはNH4+の平衡濃度に一致すると考えることができます。
<キレート剤共存下における分配係数>
M2+が水相中でキレート剤(Ln-)と錯形成反応を起こしてM:L=1:1の陰イオン錯体ML(n-2)-を作る場合を考えます(他の副反応はないものとする)。
M2++Ln- = ML(n-2)-
Kf = [ML]/([M]aq[L]) (Kf:錯生成定数)
陰イオンであるML(n-2)-は陽イオン交換樹脂に吸着せず、吸着するのはM2+イオンのみとすると、分配係数は、次のようになります。
Dg,M = [M]r/CM
= [M]r/([M]aqαM) = KNH4,M([NH4]r/[NH4]aq)2/αM …①
ここで、CMは水溶液中のMの全濃度、αMはMに関する副反応係数です。
αM = CM/[M]aq
= 1+Kf[L]
また、錯生成剤の初濃度をCLとします(金属イオン濃度に比べCLは十分大きいものとする)。
HnLがn価の酸である場合、Kn,
Kn-1,…, K1を酸解離定数として、
[L] = CL/αL
αL = 1+[H]/Kn+[H]^2/(KnKn-1)++[H]^n/(KnKn-1…K1)
(αLはLに関する副反応係数、[ML]は無視)
したがって、
αM = 1+Kf[L] = 1+KfCL/αL
よって①式は、
Dg,M = KNH4,M([NH4]r/[NH4]aq)2/(1+KfCL/αL) …②
となります。αLは[H]の関数なので、Dg,MはpHに依存します。
<<カラム沪過法の条件>>
イオンAはカラムを通過させ、イオンBをカラムに残したいとき、カラム沪過法が可能なおおよその条件は、V:溶出液体積(mL)、G:乾燥樹脂質量(g)として、
Dgb>(V/G)×5 …③
Dga<(V/G)/5 …④
で与えられます(2025-11-09)。
以降、この条件でカラム沪過法の可否を判断します。
もちろんこの条件が成立しない場合でも目的次第でカラム沪過法が可能の場合もあり、またこの条件が成立しても、テーリング現象等により分離が不十分な場合もあります。
<<EDTAの使用>>
たとえば、Ca2+にEDTA(Y4-)を加えると、次式の錯生成反応が起き電荷が変化します。この反応はpHの影響を受けます。
Ca2+ + Y4- ⇄ CaY2-
キレート剤としてEDTAを用い、Ca, Sr, Baの陽イオン交換樹脂によるカラム沪過法が適用可能なpHの条件を求めます。
EDTAの酸解離定数およびCa, Sr, Baとの錯形成定数を次に示します。
また前提条件として、「EDTAの全濃度を0.1 mol/Lとする。NH4+については、pHが所定の値となり、かつ[NH4]aqが0.2 mol/Lとなるように、HClとNH3を加える。また[NH4]rは、交換容量から考えて5
mmol/g(resin)とする。」とします。
<Ca,
Sr, BaのDgとpHの関係>
上記の定数および前提条件のとき、②式を用いて所定のpHにおけるDgの値を求めます。Caに関してエクセルでの計算結果(一部)を図-1に示します。
Sr,
Baに関しても、Caと同様の計算をします。Ca, Sr, BaのDgとpHの関係を図-2に示します。
<CaとSrの分離が可能なpH範囲>
たとえばV=100
mL, G = 8 g (Vr=20 mL)とすると、カラム沪過法が適用可能な条件として、
Srについては、③式から
Dg,Sr>(V/G)×5 = 62.5
Caについては、④式から
Dg,Ca<(V/G)/5
= 2.5
となります。
図-2から(またはエクセルの計算表でDgが③, ④式を満たすpHをソルバーで求めて)、この条件を満たすpH範囲は、4.6<pH<4.9となります。
<SrとBaの分離>
たとえばV=200
mL, G = 8 gとすると、カラム沪過法が適用可能な条件として、
Baについては、③式から
Dg,Ba>(V/G)×5 = 125
Srについては、④式から
Dg,Sr<(V/G)/5
= 5
エクセルの計算表でDgが③, ④式を満たすpHをソルバーで求めると、BaについてはpH<5.50, SrについてはpH>5.54となり、厳密には成立しませんが、分離度を下げるならばpH=5.5付近で成立する、と考えてよいでしょう。
<<CDTAの使用>>
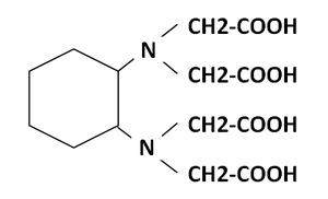
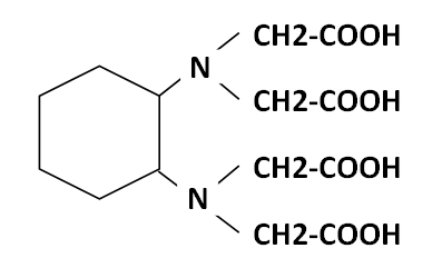
CDTA(1,2-ジアミノシクロヘキサンテトラ酢酸)は次のような構造を持つキレート剤です。
CDTA(Cy4-)は、たとえばCa2+と次のような錯生成反応をします。この反応はpHの影響を受けます。
Ca2+ + Cy4- ⇄ CaCy2-
CDTAの酸解離定数およびCa, Sr, Baとの錯形成定数を次に示します。

Ca,
Sr, BaとCDTAの錯形成定数は互いによく離れており、良好なイオン交換分離が期待できます。
EDTAの場合と同じ条件でDgの値を計算し、DgとpHの関係を求めました。結果を図-3に示します。
CaとSrの分離が可能なpH範囲:4.4<H<5.1
SrとBaの分離が可能なpH範囲:5.6<pH<6.3
CDTAはEDTAよりもカラム沪過法が可能なpHの許容範囲が広いことが分かります。
***************************
なお、Mgが共存する場合、上記の錯生成定数から考えて、EDTAあるいはCDTAを用いても、MgはSrとほぼ同じ位置に溶出すると思われます。





コメント