前回(2023-12-17)に引き続き、アミノ酸の滴定曲線の作成方法について考えます。 今回はレビ法(2023-12-10)を用いて滴定曲線を描きます。 <<モノアミノ-モノカルボン酸・塩酸塩(例:アラニン・塩酸塩)>> モノアミノ-モノカルボン酸の一種であるアラニンは次のように解 ...
もっと読む
タグ:アミノ酸
ポリプロトン酸塩基の滴定曲線(4)-アミノ酸-二分法
アミノ酸は分子内にカルボキシ基(-COOH)とアミノ基(-NH2)の両方を持つ有機化合物で、ポリプロトン酸塩基と考えることができます(2023-11-05)。したがってその滴定曲線を描く場合も、これまでのやり方が適用できます。ただし、電荷バランス式の作成における化学種の電荷の取り ...
もっと読む
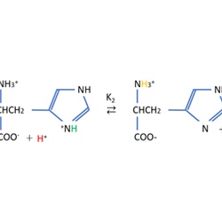
ポリプロトン酸塩基のpH-アミノ酸(2)-グルタミン酸、リジン
モノアミノジカルボン酸は分子内にアミノ基1個、カルボキシ基2個を持つアミノ酸で、グルタミン酸、アスパラギン酸などがあります。またジアミノモノカルボン酸は分子内にアミノ基2個、カルボキシ基1個を持つアミノ酸で、リジン、アルギニンなどがあます。ここでは、グルタミ ...
もっと読む
ポリプロトン酸塩基のpH-アミノ酸(1)-グリシン
アミノ酸は分子内にカルボキシ基(-COOH)とアミノ基(-NH2)の両方を持つ有機化合物です。カルボキシ基はプロトンを放出し、またアミノ基はプロトンを受容する働きがあります。したがって、アミノ酸は酸性の強い水溶液中ではアミノ基が-NH3+の形をとり、陽イオンとなります。塩 ...
もっと読む
溶液の化学種分布 (2)-アミノ酸
代表的なアミノ酸(α-アミノ酸)について、その化学種の濃度がpHによってどのように変化するか調べます。 水溶液中のアミノ酸は、pHが低いときはアミノ基とカルボキシ基の両方(および側鎖の基)がすべてプロトン化され陽イオンの形をとります。pHが上がるにつれてプロトンが外 ...
もっと読む




